基础设施PPP项目财务评价方法基本框架及应用案例研究
邱志青
“十四五”开局以来我国PPP发展呈现崭新局面,进入理性发展的新阶段。在公共基础设施领域市场化深化改革中,PPP模式是推动体制机制改革创新的有效工具。咨询机构应高度重视PPP项目建设和运营方案的系统性研究,重视财务方案专题研究,重视项目风险研究,完善PPP项目实施方案的编制和评估,切实推动PPP项目可行性研究的高质量发展。
2019年7月1日,国家发展改革委印发《关于依法依规加强PPP项目投资和建设管理的通知》(发改投资规〔2019〕1098号)(以下简称《通知》),再次强调PPP项目开展可行性论证的具体要求。本文以《通知》为指导,结合近年来参与交通、水利等行业PPP项目财务分析工作实践,提出PPP项目可行性研究财务分析需要特别关注的三方面问题,旨在抛砖引玉。一是明确已批准的拟建项目可行性研究报告(以下称《原可研报告》)的经济费用效益分析或费用效果分析结论,确定经济效率合理可行,或是优选的最佳方案,绝不能是“可批性”方案,这是项目拟实施PPP模式的关键基础;二是从政府部门角度分析实施PPP模式具有财务上的可行性,回答“实施PPP模式是否比政府自行投资或发行债券建设运营更有利”的问题;三是回答“所设计特许经营权出让的安排是否对社会投资者有足够的吸引力”问题,对基础设施项目采用PPP模式进行完整的盈利性分析和偿债能力分析,回答能否满足社会投资者的盈利要求。此外,本文还举例演示PPP项目资产定性、可行性缺口补助以及财务分析等主要计算过程,并列出财务报表。本文提出的有关PPP项目财务分析评价的观点愿与同行分享,恳请批评指正,并期待共同努力提升我国基础设施PPP项目可行性研究的质量和水平。
一、公益事业与基础设施项目经济效率的合理性是采用PPP模式的前提编写拟实施PPP模式的可行性研究报告(简称《PPP可研报告》)是《原可研报告》的继续与延伸。公益事业与基础设施项目的经济分析(指经济学分析框架下的“经济费用效益分析”和“经济费用效果分析”)与PPP融资模式财务分析两者目标具有一致性,都是研究项目资源有效配置、提高项目经济效率,但分析内容各有侧重。通俗理解,前者是通过经济分析计算公共项目的真实经济价值,判断其经济效率及资源配置的合理性,而后者则是通过财务分析选择合理的融资方案,真正实现公共项目的财务可持续性。《原可研报告》经济分析的结论是选择PPP融资模式的重要依据,要强调经济分析的主要过程及评价结论是编写《PPP可研报告》的首要任务。经济费用效益分析或费用效果分析的目的是为政府部门投资决策提供依据:(1)从社会资源合理配置的角度,全面说明整个社会为项目付出的代价,以及项目为提高社会福利所做出的贡献,计算项目的经济效率,评价项目投资的经济合理性;(2)分析项目的经济费用效益流量与财务现金流量存在的差别,以及造成这些差别的原因,提出相关的政策调整建议;(3)对具有明显经济合理性但其自身不具备财务生存能力的项目,论证对其投资建设的经济合理性,分析利用公共资源对其进行投资建设的必要性,为政府对其投资建设和生产运营提出优惠政策、进行投资补助等决策性建议;(4)对于市场化运作的基础设施等项目,通过经济分析来论证项目的经济价值,为制定财务方案提供依据。通过经济费用效益分析,计算项目的真实经济价值对投资者选择项目具有重要作用。投资人往往考虑四个方面因素:(1)项目的经济价值是构成财务现金流量的基础。虽然投资人直接关心的是项目财务现金流量,但项目的真实经济价值是持续稳定获得财务现金流量的保障;(2)项目的真实经济价值为投资者提供承担社会成本履行其社会责任的分析依据。例如,项目对环境产生污染,投资人直接为其污染行为付出代价,对项目可持续发展带来的影响;(3)项目的真实经济价值是投资人获得政府转移支付数量大小的分析依据。对于具有明显外部效益但财务生存能力不足的项目,为确保项目实施,充分发挥项目外部效益,政府一般通过投资补助、税收优惠等转移支付方式,对参与这类项目投资者予以鼓励和支持;(4)项目的真实经济价值是投资者处理相关利益群体关系的重要依据,有利于投资者判断各利益相关者受益受损情况,以及他们对项目建设和运营的抵制和支持情况,为投资者处理各种利益关系,保证项目顺利实施提供依据。运用PPP模式的目的是实现公益事业与基础设施项目市场化运作,实现市场资源优化配置。经济学的公共产品理论为公共产品市场化运作提供了理论依据,也是正确处理政府与市场关系、政府职能转变、构建公共财政收支平衡计划、推动公共服务市场化转型的基础理论。公共产品是相对于私人产品而言的,它具有两个基本特征,即消费上的非竞争性和非排他性。公共产品分为纯公共产品和准公共产品。纯公共产品一般是政府向社会所有成员提供的公益性服务,而现实社会中纯公共产品极少,大部分是带有不同程度公用性的准公共产品,具有一定程度收费的可能性并具有排他性。随着科学技术的发展使自然垄断属性的行业出现了市场竞争。实践表明,民营部门不仅能参与公共项目的投资,还可以参与运行和管理,通过市场导向的资源配置,有民营部门参与的公共基础设施建设和公益性项目,其经济效率可高于由政府部门单独实施运营管理的项目,准公共产品的这种特性使得公私合作的PPP模式应运而生。随着人们对公共产品认识的不断深入,以及技术进步、政府职能转变等,使得公共产品的市场供给成为可能。早在20世纪80年代市场经济完善的国家对公共产品及服务供给掀起一场变革——公共产品的市场化。市场化并不意味着全部的公共产品都可以市场化,应用范围有其边界。市场机制供给公共产品必须受到一定的政府规制。市场供给的公共产品一般是具有一定排他性或具有一定竞争性的准公共产品。对于提供者和生产(服务)者可以分开的纯公共产品,可通过政府购买服务,私人部门提供生产(服务)的方式予以解决,从而实现市场化运营;对于那些必须由政府垄断,特别是制度性公共产品(如宪法、法律和法规、宏观公共政策等),则不能推向市场化。PPP(Public-Private Partnership),其含义是公私合作伙伴关系, 核心意思是公共部门与私营部门建立合作伙伴关系,发挥各自优势,合理分担风险,实现利益共享,提高公共产品供给的质量和效率。广义的PPP泛指公共部门与私人部门为提供公共产品或服务而建立的各种合作关系,狭义的PPP可以理解为一系列通过合作合同进行项目投融资建设及运营模式的总称,包含BOT、BOOT、DBFOT、BOO、TOT等多种模式。中国语境下PPP模式的内涵特指基础设施及公共服务领域的政府和社会资本合作模式,即政府采取竞争性方式择优确定具有投资、运营管理能力的社会资本,双方按照平等协商原则订立合同,明确责权利关系,由社会资本提供公共服务,政府依据公共服务绩效评价结果向社会资本支付相应对价,保证社会资本获得合理收益。政府和社会资本合作模式有利于充分发挥市场机制作用,提升公共服务的供给质量和效率,实现公共利益最大化。归纳起来,PPP模式具有两大特点:(1)PPP项目中政府方与社会资本方是合作伙伴契约关系。合同参与各方通常包括政府、社会资本、PPP项目公司、金融机构、建设承包商、供应商、运营商及其他参与方。合作各方充分体现“风险共担,利益共享”;(2)PPP融资模式是以项目为主体,根据项目的预期收益、资产以及政府扶持措施来安排融资,其贷款的数量、融资成本、融资结构都与项目的现金流量和资产价值直接联系在一起,贷款的对象是项目公司,实施有限追索。3. 通过PPP商业方案的策划实现财务效益与经济效益的一致性从公益事业与基础设施项目经济分析的角度看,通过PPP商业方案的策划,使得原本不具备市场化运作条件的公共项目实现了商业化运作。政府部门以特许经营、政府购买服务等方式,与私营部门合作,发挥各自优势,合理分担风险,实现利益共享,通过市场导向的资源配置,实现公益事业与基础设施项目财务盈利性分析和资源配置的效率性分析取得一致性,从而解决不完全和非市场项目的财务现金流量与经济费用效益流量存在的差别,提高公共产品供给的质量和效率,同时减轻政府的财政负担。值得注意的是,公益事业与基础设施项目采用PPP模式的重要前提,就是拟建项目本身必须具有经济效率的合理性,即达到或超过预定的社会折现率。PPP模式仅仅是改变公益事业与基础设施项目的运作模式,改变项目的商业及财务模式,但无法改变拟建项目的经济效率。因此公益事业与基础设施项目经济效率的合理性,是采用PPP模式的重要前提,所以编写拟实施PPP模式的可行性研究报告时,需要进一步确认已批准的项目可行性研究报告关于经济效率合理性的研究依据和结论,据此判断实施PPP模式的必要性与可能性。PPP项目的财务分析评价贯穿拟建项目前期论证工作的始终,包括撰写实施方案、招投标遴选社会投资人、草拟特许经营协议、参与合作各方谈判、组建项目公司等,工作程序较多,内容相对复杂。PPP模式包含BOT、BOOT、DBFOT、BOO、TOT等多种模式,各种模式要求财务评价内容有所不同。在BOT模式下,项目全部投资盈利能力和清偿能力分析的主体就是特许权受让公司(项目公司);项目的寿命周期与受让期一致,也就不存在期末资产回收的现金流入。如果是在BOO模式下,则与一般盈利性项目的财务分析没有实质性区别。如果是在BT0模式,建造和运行可能是不同的受让主体,就有必要对这些主体分别进行财务分析。总之,财务分析应建立在受让协议规定的基础之上。同时,还要对政府部门的现金流量进行分析,对财政资金的参与程度和模式进行比较优选,避免国有资产流失和形成过重的政府隐性债务。本文以基础设施特许经营建设-运营-移交(BOT)方式为例,阐述PPP模式财务分析评价的基本框架及操作难点,阐述PPP项目财务分析评价的基本框架,并结合PPP的特点,研究PPP项目财务收支的关注重点,以及如何进行PPP项目财务盈利能力、偿债能力分析和政府财务收支现金流量分析,并结合具体案例进行演示。投资项目财务分析评价是在国家现行投资、财政、税收、金融、财务及会计管理体制下,运用政府公共理财和现代企业理财的理论与方法,采用市场价格预测投资项目的现金流量,从财务主体的角度,分析项目的盈利能力、长期债务的偿还能力、财务上的生存能力与可持续性,是投资项目可行性研究的重要内容。PPP项目中政府方与社会资本方既是合作伙伴,同时又存在契约关系,项目风险双方共担,PPP项目各参与主体应依据对风险的控制能力承担相应责任。PPP模式融资是以项目为主体的融资活动,根据项目的预期收益、现金流量和项目资产价值安排融资内容,贷款的发放对象是项目公司。项目的财务主体是经政府批准的政府和社会资本合作共同组建的项目公司,政府授予项目公司特许经营权,投资各方权利和义务均以合同或协议的方式予以呈现。投资主体是指从事投资活动,具有一定资金来源,享有投资收益的权、责、利三权统一体。PPP项目的投资主体是政府和社会资本方。融资主体是指进行融资活动,承担融资责任和风险的项目法人单位。PPP项目的融资主体是项目法人单位,即获得授权的项目公司。我国公益事业及基础设施项目采用PPP模式推进公共项目实现市场化运作的时间较短,国家尚未对此予以立法,PPP项目前期论证出现了一些误区,最突出的问题是为了推动项目实施而忽视对财务主体特许权的受让企业(项目公司)进行客观真实的财务分析,人为地尽量减少政府补贴投入,千方百计满足社会投资人的期望收益,在财务分析过程中撇开政府出资额,计算“社会投资人资本金”财务内部收益率和社会投资人期望收益率,并据此得出PPP项目财务可行性的分析结论。这样分析违背了投资项目财务分析的基本原则,一是投入与产出不匹配,二是政府投入的财政资金不考虑回收或替代优化方案,三是利用中央政府和地方政府的分税制安排,割裂PPP项目财务评价的完整性,扭曲了PPP项目评价的基本原则,误导PPP项目的投资决策。投资项目经济与财务评价首先要遵循投入产出范围对应一致的原则,政府投资必须评价其回收的可能性及替代优化方案。对于实行PPP模式的公益事业及基础设施项目,财务分析应按照特定的模式框架进行操作,具体要求可参照中咨公司投资项目财务分析评价准则(以下称《财务分析评价准则》)的明确规定,即“准经营性基础设施、公用工程及资源开发等项目,属于不完全市场竞争项目。当经营收费不足以覆盖投资成本费用时,称准经营性项目。在财务分析中除测算需要政府补贴的资金外,应优先考虑可通过政府授予特许经营权附加部分补贴或直接投资参股等措施,为投资者获得合理回报创造条件,选择合适的特许经营模式。这类项目应进行完整的财务分析评价,并着重分析财政补贴金额、社会投资者合理回报”。PPP项目财务收支需要进行项目全寿命周期的预测。PPP项目全生命周期(即特许经营期),应结合基础设施和公用事业行业特点、所提供公共产品或服务需求及财务目标,统筹考虑项目公司建设及运营期间的所有收入与费用支出(包括建设成本、财务费用、运营成本及更新改造和追加投资),通常以25-30年为一个周期,通过制订整个周期内的财务平衡计划来实现项目的持续、平稳和高效运营。项目计算期的确定,应结合项目行业特点,以其主要设备的经济合理使用期作为项目的经济寿命期,包括建设期和运营期,在项目期末回收固定资产余值和回收流动资金。PPP项目投资估算由初始阶段的建设投资、建设期利息、净营运资金和生产运营期维持运营投资组成。(1)初始建设投资是根据政府批准的建设方案与社会资本合作的协议框架的内容,采用初步设计概算方法进行编制。(2)净营运资金(流动资金)根据流动资产(库存、预付款、应收账款及现金等)减去流动负债(应付账款)进行估算,是项目运营所需的周转资金。净营运资金是投资项目所需的初期资本支出的重要组成部分,属于永久性营运资金。PPP项目投资估算不要遗漏该项投资。(3)项目公司生产运营阶段的投资,即维持运营投资和追加投资。各种不同资产(如房屋建筑、机械设备、运输设备等)经济寿命不同,为维持生产正常运转,每项设备按照规定的使用年限在适当的时候需要重置,而追加投资成本必须包括在特许经营协议框架中。PPP项目付费机制主要是指项目公司取得投资回报的资金来源,包括使用者付费、可行性缺口补助和政府付费等。社会投资人取得事先规定的绩效后应获得相应的投资回报。社会资本投资回报系投资人提供公共产品或服务的对价。实践中,需要根据各方的合作预期和承受能力,结合项目所涉及的行业、运作方式实际情况,因地制宜地设置合理的付费机制方式等。无论是使用者付费还是政府付费,政府强调PPP项目运作绩效的评价和管理,主要对PPP项目运作、公共服务质量和公共资源使用效率等进行全过程监管和综合考核评价、成本监审、考核评估、价格调整审核。政府考核项目绩效的目的是为增强公共产品和公共服务的质量和效率。(1)政府付费(Government Payment)是指政府直接付费购买公共产品和服务。在政府付费机制下,政府可以依据项目设施的可用性、产品或服务的使用量以及质量向项目公司付费。政府付费是公用设施类和公共服务类项目中较为常用的付费机制,在一些公共交通项目中也会采用这种机制。(2)使用者付费(User Charges)是指由最终消费用户直接付费购买公共产品和服务。项目公司直接从最终用户处收取费用,以回收项目的建设和运营成本并获得合理收益。高速公路、桥梁、地铁等公共交通项目以及供水、供热等公用设施项目通常可以采用使用者付费机制。(3)可行性缺口补助(Viability Gap Funding,简称 VGF)是指使用者付费不足以满足项目公司成本回收和合理回报时,由政府给予项目公司一定的经济补助,以弥补使用者付费之外的缺口部分。可行性缺口补助是在政府付费机制与使用者付费机制之外的一种折衷选择。在我国实践中,可行性缺口补助的形式多种多样,具体可能包括土地划拨、投资入股、投资补助、优惠贷款、贷款贴息、放弃分红权、授予项目相关开发收益权等其中的一种或多种。以上三种付费模式中使用者付费无疑是项目公司的收入,而对于合同约定的政府补贴,需区别对待,如果该补助与项目公司销售产品或提供劳务等经营活动密切相关,且来源于政府的经济资源是企业产品或服务的对价或者是对价的组成部分,应当按照《企业会计准则第14号——收入》的规定计为项目公司收入。如果某些政府补贴实质是政府无偿支付给项目公司,具有无偿性和直接从政府取得的特征(如财政拨款、财政贴息、无偿划拨非货币性资产、先征后返(退)、即征即退等办法返还的税款等),应根据《企业会计准则第16号——政府补助》的相关规定,区分与资产相关的政府补助和与收益相关的政府补助分别进行会计处理的问题。产品成本费用支出在PPP项目决策具有重要的作用,得到政府、企业及社会投资者各方广泛的关注。成本与费用预测重点注意以下问题:(1)投资项目产品成本费用预测是以收付实现制为基础的,即假设产品(或服务)当年的产品产量,当年全部售出,产品总成本费用和销售收入同时计入当期利润表。企业日常产品成本费用核算以权责发生制为基础,权责发生制(accrual basis)又称应收应付制原则,是指以应收应付作为确定本期收入和费用的标准,而不问货币资金是否在本期收到或付出。(2)成本费用估算的主要依据:实施方案中具体运营方案并考虑特许经营协议绩效考核标准,以及相关制度规定的企业成本开支范围和费用开支标准。经营成本费用=外购材料+外购燃料及动力+职工薪酬+修理费+其他费用1)经营成本及费用是项目现金流量分析中所使用的特定概念,财务分析评价中将产品成本费用的构成以现金流量为主体来进行表达,包括产品生产过程中耗费的原材料、燃料、动力费及职工薪酬等直接成本及制造费、销售费及管理费等间接费用扣除折旧、摊销及财务费的现金支出。折旧(或折耗)及摊销费不构成项目的现金流出。2)PPP项目总成本费用中的折旧及摊销,需根据BOT、BOOT、DBFOT、BOO、TOT等模式下资产权属的不同情况分别处理。3)BOT特许经营项目资产处理的正确与否直接关系到PPP项目总成本、利润和税收的计算。特许经营项目公司建造合同收入应当按照《企业会计准则解释第14 号》(下称《解释第14号》)收取或应收对价的公允价值计量,并分别以项目公司提供(或未提供)实际建造服务的不同情况确认收入,确认金融资产、无形资产或混合资产。具体解释如下:第一,合同规定基础设施建成后的一定期间内,项目公司可以无条件地自合同授予方收取确定金额的货币资金或其他金融资产的;或在项目公司提供经营服务的收费低于某一限定金额的情况下,合同授予方按照合同规定负责将有关差价补偿给项目公司,应当在确认收入的同时确认金融资产,并按照《企业会计准则第22号——金融工具确认和计量》的规定处理。第二,合同规定项目公司在有关基础设施建成后,从事经营的一定期间内有权利向获取服务的对象收取费用,但收费金额不确定的,该权利不构成一项无条件收取现金的权利,项目公司应当在确认收入的同时确认无形资产。第三,当特许服务权合同中约定需求风险,由经营方与授予方共担,授予方承担差额担保部分的需求风险,经营方对可获最低限额担保部分的对价,应确认为金融资产,将剩余部分确认为无形资产,该无形资产为经营方从使用者付费超出最低限额部分的收费权利,项目公司应当在确认收入的同时确认混合资产。第四,项目公司未提供实际建造服务,将基础设施建造发包给其他方的,不应确认建造服务收入,应当按照建造过程中支付的工程价款等考虑合同规定,分别确认为金融资产或无形资产。税费计算是财务分析评价中现金流量计算重要的内容。税费的计算贯穿财务分析评价的全过程,税费计算的正确性,直接影响财务分析评价指标的合理性,进而影响投资项目决策的正确性,应予以高度的重视。PPP项目财务分析涉及的主要税费:增值税、消费税、关税、企业所得税、房产税、车船税、资源税、土地增值税、城镇土地使用税、城市维护建设税、车辆购置税、耕地占用税、船舶吨税和烟叶税。具体计算方法请参照中咨研究系列丛书《工程项目财务评价理论方法及应用》第六章财务分析评价涉及的税费计算。以下本文将重点解答PPP项目为什么要估算缴纳流转税与企业所得税的有关问题:由于PPP项目实质是政府与社会资本达成契约后形成的购买关系,此时项目公司提供的公共产品或服务,无论是使用者付费还是政府付费,均属于法人公司交易行为。项目公司无论是从使用者获得的收入,还是从政府获得的收入,都应当作为主营业务收入,按规定缴纳流转税与企业所得税。PPP项目公司因提供公共产品或公共服务获得的可行性缺口补助,是与政府签订的特许经营协议(契约)而形成债权与债务关系,政府与企业属于交易行为,企业取得的可行性缺口补助款项属于项目公司为了保证合理的项目收益,与政府在达成PPP项目时的事先约定,是项目运营利益的必要保证,应当界定为项目公司取得的主营业务收入的一部分,按规定缴纳流转税与企业所得税。在PPP项目的财务分析评价中,要对项目全寿命期内的价格进行预测,这是评价中的难点,也是评价工作中的薄弱环节,成为PPP项目财务分析评价必须解决的重要问题。笔者认为,PPP项目投入物与产出物的取价可分按两步考虑,一是在编写实施方案的财务分析评价中选择一套实价(Real Price)或真实价格进行财务测算,二是在特许经营协议中确定调价机制。做好价格预测一定要掌握以下几个重要概念,本文直接采用中咨研究系列丛书《工程项目财务评价理论方法及应用》附录A《财务分析评价准则》2.4.1款,阐述这些重要概念。
1)绝对价格是指用货币单位表示的商品价格绝对水平。绝对价格变动一般体现为物价总水平的变化,即因货币贬值(通货膨胀)引起的所有商品价格的普遍上涨,或因货币升值(通货紧缩)引起的所有商品价格的普遍跌落。2)相对价格是指商品间的价格比例关系。导致商品相对价格发生变化的因素很复杂,例如供应关系的变化、价格政策的变化、劳动生产率变化等都可能引起商品间比价的改变;或因消费水平变化、消费习惯改变、可替代产品的出现等引起供求关系发生变化,从而使供求均衡价格变化,引起商品间比价关系的改变等。财务分析评价涉及的计价体系有两种,即固定价格或不变价格体系、实际价或现时价格体系,即涉及基价、真实价和现时价格(实际价)等三种价格。基价是指以基年价格水平表示,不考虑其后变动的价格,也称固定价(Constant price)。如采用基价,则项目计算期内各年价格都是相同的,就形成了财务分析的固定价格体系。一般选择评价工作进行的年份为基年,也有选择预计的开始建设年份作为基年。基价是确定项目涉及的各种货物预测价格的基础,也是估算建设投资的基础。时价是指投入物或产出物在各年的实际价格或当前价格,同时包含了相对价格变动和绝对价格变动,以当时的价格水平表示。以基价为基础,按照预计的各种货物的价格上涨率(称为现时价格上涨率)可以分别求出其在计算期内任何一年的现时价格。假定货物A的现时价格上涨率为3%,则在基年的基价100元的基础上,第二年的现时价格应为[100×(1+3%)],即103元。设基价为,现时价格为,各年的现时价格上涨率为 (i=1,2,...,n),为可以各年相同,也可以不同,则第n年的现时价格:实价是以基年价格水平表示的,反映相对价格变化的真实价格(非实际价格),可以由现时价格或实际价格中扣除通货膨胀因素影响以求得真实价格。如果通货膨胀率高于现时价格上涨率,货物的实价就可能低于现时价格。一般把实际价格的变化率,称为实价上涨率。只有当现时价格上涨率大于通货膨胀率时,该货物的实价上涨率才能大于0,此时说明该货物价格上涨超过物价总水平的上涨。设第i年的实价上涨率为ri,通货膨胀率为fi,各年的现时价格上涨率也相同,则有:如果货物间的相对价格保持不变,即实价上涨率为零,那么实价值就等于基价值,同时意味着各种货物的现时价格上涨率相同,也即各种货物的现时价格上涨率等于通货膨胀率。通货膨胀直接影响产品价格的变动。本文直接采用中咨研究系列丛书《工程项目财务评价理论方法及应用》附录A《财务分析评价准则》2.5.2款的规定,介绍具体处理方法。财务盈利能力分析原则上应采用实价进行计算。以实价为基础计算投资回收期、净现值和内部收益率等指标,用于投资者考察项目投资的实际回收能力和盈利能力。因为实价值(实际值)是剔除了通货膨胀影响的价值,消除了因考虑通货膨胀带来的“浮肿利润”,能够更真实地表示拟建项目投资的盈利能力,为投资决策提供可靠信息。清偿能力分析原则上应采用现时价格进行计算。按现时价格进行财务现金流量预测,编制损益表、资金来源与运用表及资产负债表,可以比较准确地描述计算期内各年当时的财务状况,以正确地进行清偿能力分析。采用现时价格进行清偿能力分析,在投资估算中必须考虑包含因通货膨胀影响的价差预备费;同样,资金筹措总额中,也应包含这部分费用,在以后的借款偿还中也必须考虑这部分费用的偿还。因此,只有以既考虑相对价格变化,又考虑通货膨胀因素在内的现时价格值进行资金来源和运用的平衡分析,才能满足投资计划编制的要求,以满足借款清偿能力分析的需要。对于价格变动因素,在进行项目财务盈利能力和债务清偿能力分析时,原则上应作不同处理。但为了简化计算,根据项目具体情况,两种分析也可采用一套预测价格,一套计算数据。即针对物价总水平的上涨因素,可以区别以下不同情况,分别进行不同的简化处理:1)建设期较短的项目,两种分析在建设期内各年均可采用现时价格,生产经营期内各年均采用以建设期末(生产期初)的现时价格为基价,并以此为基础,根据生产经营期内相对价格变化进行调整,作为投入物和产出物价格的估算依据。2)建设期较长,确实难以预测物价上涨指数的项目,两种分析在计算期内均可采用以基年(或建设期初)现时价格为基础,仅考虑相对价格变化,不考虑物价总水平上涨因素,并依此价格进行清偿能力分析。PPP项目服务收费是指向服务对象收取的服务费用,需分析其合理性。分析方法一般是将预测的服务收费价格与消费者承受能力和支付愿意以及政府发布的指导价格进行对比,也可与类似项目对比。有时需要在维持项目正常运营的前提下,采取倒推服务收费价格的方式,同时分析消费者支付能力。调价机制是PPP项目采购文件和合作协议中不可缺少的重要内容。调价机制关系到政府补贴的支付形式与社会资本方的投资回报。应按照财政部相关文件要求,设置合理的价格调整机制,将政府付费金额维持在合理范围,保障社会资本有合理的投资回报,避免损害公众利益。有效和健全的价格调整机制是PPP项目赖以生存及可持续性经营的关键所在。价格调整机制的确定,应综合平衡政府、纳税人、消费者、行业以及相关利益者各方的需求;推动实现高效率以及高质量的公共服务水平;防止产生公众无法接受的大幅度加价;服务价格调整与运营成本的变动必须同步,以及对更新改造和追加投资的PPI指数变化予以充分考虑。服务价格调整机制主要做法是对影响运营成本的主要因素的变动做出合理的调整。价格调整以年度为周期,调整周期一般3-5年。PPP项目价格调整机制应依法调整,但我国目前尚未立法。服务价格调整有多种方法,一般采用公式法。本文举例介绍公式调价法。
【案例】
2014年1月26日,北京市发改委、交通委和财政局联合发布了《关于调整北京市公共交通价格的通知》(京改发【2014】12526号)。附件:
调价公式:
Pn=Pn-1×K
Pn:第n年城市公共电汽车或轨道交通调整后的平均票价
Pn-1:第n-1年城市公共电汽车或轨道交通调整后的实例票价
n:为公历年
K:为调整系数;K<In-1/In-2
In-1/In-2:北京市统计局公布的第n-1年人均可支配收入除以第n-2年人均可支配收入
调价系数:
K=a×CPIn-1+b×En-1+c×Ln-1
a:为扣除人工费用、动力费用以外的其他费用在公共交通企业运营成本构成中所占的比例30%
b:为动力费用在公共交通企业运营成本构成中所占的比例20%
c:为人工费用在公共交通企业运营成本构成中所占的比例50%
CPIn-1:为北京市统计局公布的第n-1年居民消费价格指数
En-1:第n-1年轨道交通年均电价与第n-2年轨道交通年均电价之比(%)
Ln-1:北京市统计局公布的第n-1年交通运输、仓储和邮政业城镇单位在岗职工平均工资与第n-2年平均工资之比(%)。
财务基准收益率是投资项目财务盈利能力分析的核心参数。财务基准收益率本质上体现了投资者对所投资项目占用资金时间价值的判断及对项目风险的估计。财务基准收益率是判别项目财务内部收益率是否可行的基准值,也是用于计算财务净现值的折现率,是投资项目决策的主要判据。PPP项目政府部门与社会资本的利益诉求不同,政府部门是维护公共利益,社会资本则追求商业利益,二者必须兼顾各方利益。财务基准收益率取值应建立在合理的利益共享机制基础之上。社会资本承担的PPP公益性项目,获得特许经营权,不是追求商业利润最大化,而强调取得相对稳定的合理的投资回报,实现“盈利但不暴利”。政府通过核定经营收费价格,或者以购买服务的方式使社会资本方获得收入,实现项目建设运营的财务可持续性。(1)全部投资财务基准收益率取值应依据项目的性质而定。对于产出物价格由政府进行控制和干预的项目,财务基准收益率应根据政府政策导向,由国家或行业主管部门测算确定;对于产出物由市场定价的项目,其财务基准收益率应根据资本成本和项目风险由投资者自行确定。PPP项目全部投资财务基准收益率的设定,应考虑基础设施公共服务的行业特点和不同的PPP运作方式,大致可分为两类,一是使用者付费的PPP项目,财务基准收益率可以选择在长期贷款基准利率基础上加1-2个风险点。如现行市场报价利率(LPR)5年期银行贷款基准利率4.45%,税后财务基准收益率可以定在5%~7%左右。二是政府付费的PPP项目,最好设定为5%~6%左右。参照金融市场上无风险收益率,通常为长期国债利率再加上1-2个左右风险点来确定。按照目前长期国债利率估算,2022年05月, 五年期国债3%-4%,十年期国债收益率为2.77%,这类PPP项目的财务基准收益率最好设定为5%~6%左右。(2)资本金内部收益率,资本金内部收益率判别基准应为投资者最低期望收益率,它的确定主要取决于当时的资本收益水平以及资本金所有者对权益资本收益的未来期望,并与投资者对风险的态度有关。PPP项目资本金内部收益率取值可以采用社会投资者期望的收益率和政府投资收益率的加权资金成本,一般应不低于项目所得税后财务内部收益率的判别基准。(3)PPP项目投资各方内部收益率的判别基准,各方投资财务基准收益率的确定主要取决于投资各方对投资收益水平的期望值。对于地方政府和社会资本方来说都是至关重要的。通常以加权平均资金成本为基础计算财务基准收益率。项目的加权平均资金成本与项目的融资结构有关,即项目的资金成本要根据项目权益资金机会成本和债务资金成本综合考虑确定。同时应在项目加权平均资金成本基础上加一定的风险系数(包括行业风险和项目特殊风险等),还应注意合理扣除银行贷款利率中所包含的通货膨胀因素。加权平均资本成本一般是以各种资本占全部资本的比重为权数,对各种资本成本进行加权平均确定的。
【举例】
某项目的资本结构为资本金占35%,债务资金占65%。股权结构为社会资本占比51%,政府投资占比49%。社会资本期望的收益率7%,政府投资收益率5%,债务的贷款利率6.0%。计算项目的基准财务收益率。
ic=(0.07*0.51+0.05*0.49)*0.35+0.06*0.65=0.06
5.设定财务基准收益率应与项目所采用价格体系相协调
判别基准的确定,应分析财务投入与产出所采用的价格是否包含通货膨胀因素,如果项目全寿命周期内考虑通货膨胀,并采用现时价格计算内部收益率,则确定判别基准时也应考虑通货膨胀因素,反之亦然。
(五)PPP项目盈利能力分析
PPP项目盈利能力分析是项目财务分析评价的主要内容之一,包括动态现金流量分析和静态分析(非折现盈利能力分析)两部分,在编制现金流量表和利润表的基础上,计算财务内部收益率、财务净现值、投资回收期等指标。
现金流量分析分为三个层次。项目全部投资现金流量分析,项目资本金(或自有资金)现金流量分析,投资各方现金流量分析,各层次分析都应编制相应的现金流量表,并计算相应的评价指标。
1.全部投资现金流量分析
PPP项目全部投资现金流量分析,分析主体是项目公司,投资者包括政府、社会投资人及债权人,全部建设投资(即项目总投资减去建设期利息)。财务分析的目标,项目所得税后财务内部收益率(FIRR)大于全部投资所得税后财务基准收益率。项目投资现金流量分析,是针对项目基本方案进行的现金流量分析,也称为“全部投资现金流量分析”。属于融资前盈利能力分析,它是在不考虑负债融资条件下,进行的融资前分析(Before funding analysis),是从项目投资总获利能力的角度,考察项目方案设计的合理性。全部投资现金流量分析不仅是息前且是从税后角度进行的分析,考察融资前所得税后的评价指标。该表中的“所得税”应根据息税前利润(EBIT)乘以所得税率计算,称为“调整所得税”。融资前息税后现金流量分析结果,可作为项目投资决策的依据和融资方案研究的基础。PPP项目资本金现金流量分析是融资后分析(After funding analysis),用于分析判断PPP项目方案在考虑融资条件下的合理性,分析主体是项目公司资本金的获利能力,包括政府和社会投资人的权益资金,财务分析的判断目标为项目资本金财务内部收益率(FIRR)大于或等于资本金基准收益率。项目资本金财务内部收益率的基准参数体现项目发起人(代表项目所有权益投资者)对投资获利的最低期望值(最低可接受收益率MARR)或资本金资本成本。当项目资本金财务内部收益率大于或等于最低可接受收益率或资本金资本成本时,说明在该融资方案下,项目资本金获利水平超过或达到了要求,该投融资方案是可以接受的。项目资本金现金流量分析是融资后分析(After funding analysis),通过编制项目资本金现金流量表计算财务内部收益率、财务净现值等指标,分析项目资本金的获利能力。在市场经济条件下,对项目整体获利能力有所判断的基础上,项目资本金盈利能力指标是投资者最终决定投资的最重要指标,也是比较和取舍融资方案的重要依据。PPP项目投资各方(政府和社会投资人)现金流量分析是融资后分析,在按股本比例分配利润及分担亏损和风险的原则下,分析判断政府和社会投资人投资的获利能力,是否达到最低期望值。在特许经营协议的框架下,PPP项目在这项分析中,利润分配可优先考虑社会投资人的最低期望值,政府可以少分利或不分利。计算投资各方的财务内部收益率可以看出各方受益的非均衡性是否在一个合理的水平上,有助于促成投资各方在合作谈判中达成平等互利的协议。利润及利润分配分析,是对项目实施后财务主体在经营期内取得的收益、总成本费用、税费支付以及收益分配的全过程进行分析。评价PPP项目税收及股利分配等财税政策的合理性。PPP项目公司的利润及利润分配表,反映PPP项目在计入可行性缺口补贴后每期的利润总额。利润及利润分配分析属于项目融资后分析,在项目评价中有四个重要作用:一是进行盈利性分析,计算静态盈利指标;二是分析项目利润总额;三是计算所得税,净利润及息税前利润及息税摊销前利润;四是为偿债能力分析编制财务计划现金流量表和资产负债表提供依据。核心内容是计算所得税,PPP项目在税收上的优惠政策,实行的是三免三减半。按企业财务通则有关规定,企业年度净利润,除法律、行政法规另有规定外,按照以下顺序分配:(2)提取10%法定公积金。法定公积金累计额达到注册资本50%以后,可以不再提取。(3)提取任意公积金,任意公积金提取比例由投资者决议。股利分配是指在公司赚得的利润中,有多少作为股利发放给股东,有多少留在公司作为再投资。应当按照《公司法》的原则,向投资者分配利润。企业以前年度未分配的利润,可以并入本年度利润一并进行分配。企业需要拿出多大比例的净利润用于向投资者分配利润,除了要有足够的累计盈余外,还要考虑企业盈余的稳定性、投资机会、债务需要和举债能力等因素,需要重点考虑企业的现金流量状况。在拟订利润分配方案时,应当预留回购股份所需利润。企业弥补以前年度亏损和提取盈余公积后,当年没有可分配的利润时,不得向投资者分配利润,但法律、行政法规另有规定的除外。(5)向投资者分配利润。企业以前年度未分配利润,并入本年度利润,在充分考虑现金流量状况后,向投资者分配。属于各级人民政府及其部门、机构出资的企业,应当将应付国有利润上缴财政。PPP项目政府作为投资方与社会资本共同在市场经济环境下建设和运行项目。因此,在实际的市场价格、补贴和税收环境下,预测项目财务上的清偿能力,分析对投资参与者的吸引能力,据以判定项目财务上的可行性和生存能力是十分必要的。PPP模式融资是以项目为主体安排的融资,这种融资方式不依赖于项目投资人或发起人的资信状况及其有形资产,而是根据项目的预期收益、现金流量和项目资产价值安排融资内容,贷款的数量、融资成本的高低以及融资结构的设计都是与项目的预期现金流量和资产价值直接联系在一起的,贷款的发放对象是专门为项目融资和经营而成立的项目公司。债务清偿能力分析是分析项目财务主体计算期内是否有足够的现金流量,按照贷款期限、还本付息方式偿还项目的债务资金。核心是计算项目全寿命周期内现金流量的余缺。债务清偿能力分析的过程,重点是编制项目实施后项目公司的财务计划现金流量表,该表是反映在项目全寿命周期各年经营、投资及筹资活动所产生现金流量的财务报表,报表的最后结果是计算出各年的净现金流量和累计净现金流量,用以评价项目公司取得和运用现金的能力,确定项目公司还本付息和支付股利的能力,在此基础上进行现金流量规划。PPP项目公司赖以生存并可持续运行的基本条件是:全寿命期内各年经营、投资及筹资活动中所产生现金流入与流出应保持平衡。财务生存能力(可持续性)分析,重点是分析计算财务计划现金流量表各年净现金流量和累计净现金流量的余缺。在经营期中取得的现金流入除满足经营活动所需的现金流出外,且应有一定余量的净现金流量,用于偿还贷款、股利分配及再投资,各年净现金流量或累计净现金流量仍大于等于零,说明项目公司具有财务生存能力并具有可持续性。分析中允许个别年份净现金流量或累计净现金流量出现负值,但出现负值的年份不宜过多,数值不宜过大,否则项目公司难于生存与发展。资本结构是项目公司各种长期资金的构成和比例关系,主要包括:资产负债结构、权益资金结构、负债结构等。基本的比例关系是权益资金与债务资金的比例。资本结构的合理性涉及到项目投资、筹资、经营等方面。在PPP项目全寿命期内资本结构呈动态变化。资本结构合理性分析是财务可持续分析的重要内容,综合评价项目筹资方案的合理性,判别项目财务风险的大小。资本结构合理性分析,可利用资产负债表,进行资产负债比例、长期债务与权益资本的比例分析,来判断企业负担长期债务能力。资产负债表是反映项目实施后全寿命期各年年末时点资产、负债和所有者权益构成情况的财务报表。根据该表的数据来计算资产负债率,用于分析项目公司总资产中有多少是通过负债得来的。资产负债率是评价项目公司负债水平的综合财务比率,适度的资产负债率既能表明项目公司投资人、债权人的风险较小,又能表明项目公司经营安全、稳健、有效,具有较强的融资能力。(八)政府现金流(government cash flow)分析采用PPP模式,需要从政府部门角度分析实施PPP模式财务上的可行性,要回答“实施PPP模式是否比政府自行投资或发行债券建设运营更有利?”。编制政府现金流量表,系统分析政府实施PPP和自行投资两种模式的现金流入与流出,计算并比较两种模式净现金流量大小,为政府选择建设和运作模式提供科学可靠的依据。政府现金流量表中,现金流入指境外金融机构对项目的贷款收入、项目对境外和国有银行的还本付息和其他费用收入、政府作为出资人的股利上缴收入、各种税、费收入、其他现金流入。现金流出指对境外金融机构的还本付息和其他费、政府对项目(法人)的贷款支出、政府作为出资人的权益投资支出、其他支出(包括补贴、培训和项目外的各种配套设施等) ,计算当期盈余,累计盈余。这张表的数值应该用现时价格,以便与债务偿还等口径一致,但这样操作的困难是要估计今后相当长时间的通货膨胀率。鉴于此,建议项目建设期按估计的通货膨率价格上浮,待建设期结束项目开始运行时,按这时的时点不再上浮(即用该时刻实价计算)。本文案例演示PPP财务分析评价的简要过程。案例是以几个地铁项目为背景,数据进行综合模拟。案例根据投资规模和资产性质不同分别做五个案例,分为两组,第一组由PPP模式(混合资产)方案Ⅰ、PPP模式(无形资产)方案Ⅱ、传统模式方案Ⅲ组成;第二组是项目总投资扣除洞体及人防工程投资,只计算设备及场站等工程投资,由PPP模式(混合资产)方案Ⅳ和PPP模式(无形资产)方案Ⅴ组成。案例演示PPP项目操作过程及主要难点:(1)地铁PPP项目总投资涵盖洞体及人防工程投资与扣除这部分投资两种方案的对比分析;(2)PPP项目资产性质不同其评价结果的区别,有关混合资产项目金融资产和无形资产的划分测算过程;(3)反推价格和可行性缺口补贴的计算;(4)社会资本回报率的计算过程;(5)计算政府投资的现金流量,对政府实施PPP与政府自行投资建设运营进行对比分析;(6)提供主要财务报表,表中数据为各案例总量数据;(7)复核了《原可报告》经济费用效益分析。本案例提供方案Ⅰ金融资产和无形资产划分、反推价格和补贴额详细计算过程;案例不演示投资估算、经营成本、总成本计算过程以及评价指标计算公式和不确定性分析等内容。
【案例概况】
根据某市地铁特许经营协议的安排,政府作为项目授予方,与社会投资人组建项目公司A。按照特许经营协议要求项目公司A提供建造服务,并在建造完成后于规定的期间(特许经营期)对地铁提供经营和维护服务。特许经营协议中对所建造的基础设施的质量标准、工期、开始经营后提供服务的对象、收费标准及后续调整做出约定。同时在合同期满,项目公司A负有将有关地铁运营设施移交给项目授予方的义务,并对该地铁运营设施在移交时的性能、状态等做出明确规定。根据协议规定客流量80%为保底量,项目公司A对超出保底量部分有向服务使用者收费的权利。
合同中规定项目公司A在有关地铁基础设施建成后,从事经营的一定期间内有权利向获取服务的对象收取费用,但根据协议规定客流量80%为保底量,标准单价如表1所示。并且根据预测,特许经营期间的客流量超出保底量,项目公司A承担超出担保部分之外的需求风险。相应地,对于基础设施建设成本超过政府担保付款额现值的部分,应作为项目公司A对超出保底量部分向服务使用者收费的权利。因此,该项目的核算模型属于混合模型,包括某市政府担保的金融资产部分和未担保的无形资产部分。
根据协议,无论实际客流量的高低,项目公司A有权无条件收取最低担保客流量所对应的金额,且客运单价可以确定(为简化起见,本案例假设后续单价不作调整)。因此,项目公司可以预测未来经营期间的最低现金流入量(本案例假设所有现金流量于每期期末产生),并按照授予方或类似信用机构发行的债券利率作为折现率,从而确定该金额产生于建造期末的公允价值。
现实操作中,如果后续单价需要通过合同定价调整的公式确定,则在测算金融资产的现值时应该估计未来单价可能变动的情况,因而会涉及复杂的估值和计算。这也是金融资产模型下的难点之一。另外,目前的一些PPP安排,虽然存在协议定价调整机制,但实际操作中并未完全遵照执行,这也是今后需要进一步规范PPP运作的地方。基础设施建设总成本所形成资产的性质,因提供服务而从授予方收取现金的权利和因提供公共服务而向使用者收费的权利是两项不同的资产。所以,在本案例中,项目公司A需要将所提供建造服务的对价分为两部分,基于保底金额确认的金融资产和剩余金额构成的无形资产。该项目资产性质符合《解释第14号》中的混合资产。因此,根据财务分析操作过程的需要,先确认金融资产与无形资产的分割;采用倒推价格法计算可行性缺口补贴额,然后按顺序编制财务报表及计算财务指标。

金融资产与无形资产测算过程见表2和表2-1。关键步骤计算说明(仅供参考):(1)确认建设总成本;(2)确认综合折现率或合理利润率及利息率;(3)计算年度应付费用;(4)计算保底收入;(5)计算可行性缺口补助收入;(6)计算金融资产总收入(保底收入);(7)计算金融资产初始值(金融资产总收入折现现值);(8)计算金融资产摊余值;(9)计算金融资产的利息收入;(10)计算无形资产初始值;(11)计算无形资产摊销。

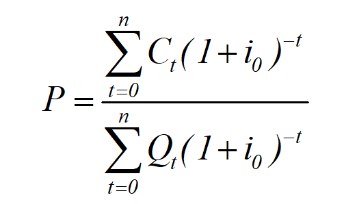
铁路、公路运输、通讯、电力、煤气、供水、污水、垃圾处理等基础设施类项目通常具有自然垄断性,其产出是为现代社会生活提供必需的基本服务,其收费价格受政府规制,产品(或服务)相对单一,是重要的一类不完全市场项目。当运营收入不能覆盖成本时需要计算可行性缺口补贴。可行性缺口补助计算过程如下。可行性缺口补助(Viability Gap Funding,简称 VGF)计算方法:反推价格法。计算公式:
式中,Ct为项目包括投资在内的各期费用,一般为财务分析的投资、经营成本估算及维持运营投资,Qt为第t期的产出供应消费的量,i0为折现率。反推价格公式中的费用可以利用全部投资现金流量表或资本金现金流量表中的现金流出量。本文推荐在PPP项目中,采用资本金现金流量表中的现金流出计算反推价格,原因是资本金财务基准收益率是投资者期望的目标收益率,采用资本金现金流出量反推的价格,计算的补贴额可直接达到投资者期望的收益目标,同时也可满足全部投资所得税后财务内部收益率指标。反推价格折现率取值可以适当取值偏高一些,需要反复试算,选取合理折现率。方案Ⅰ反推价格选取按折现率7%,计算结果,反推价格为13.4499元/人次,计算过程见表3。
(2)利用反推价格和可研报告的产品(或服务)数量计算达到目标收益率的收入总量,见表3序号2,计算票款收入41.22亿元(该项收入为原运营收入和需要补贴收入之和);(3)目标收入总量减去原票款收入,计算需要补贴数额,见表3序号3,计算补贴收入(补贴票款收入与原票款收入之差(2.1-1.1))34.19亿元;(4)计算金融资产保底收入与利息收入之和,见表3序号4(4.1+4.1)232.39亿元;(5)调整补贴收入,当有些年序中补贴票款收入与原票款收入之差小于零时,需要调整补贴收入,令其补贴收入等于当年的金融资产保底收入与利息收入之和,见表3序号5,9.9亿元;



启示一:采用PPP模式要合理界定项目的范围。基础设施项目投资结构中纯公益性设施投资占有较大比重的项目不适宜将全部投资纳入PPP模式,建议将纯公益性设施与运营设施分开处理,两部分投资可选择不同的运作模式。第一组案例,PPP模式方案Ⅰ和方案Ⅱ与政府自建的传统模式方案Ⅲ相比:方案Ⅰ和方案Ⅱ根据特许经营协议规定的绩效考核标准,两方案投资、经营成本及更新改造投资均比传统模式政府自建成本节约10%左右。表5财务指标计算结果可行性缺口补贴,方案Ⅰ为351.82亿元,方案Ⅱ为325.75万元,方案Ⅲ为278.24亿元。方案Ⅲ比方案Ⅰ节约73.43亿元,比方案Ⅱ节约47.51亿元。表6政府现金收支流量分析结果,方案Ⅲ政府收支净现值(ic=5%)为最小-23.69亿元,比方案Ⅰ-35.71亿元,减少12.02亿元, 比方案Ⅱ-58.64亿元,减少34.95亿元。为什么传统模式方案Ⅲ在投资规模、经营成本、更新改造投资均高出两方案10%左右的情况下,而财务指标优于PPP模式?主要原因有两个:一是,地铁项目投资结构分为两部分,洞体工程为地铁运营提供了运输空间,属于纯公益性质,且投资占比在60%左右,而投资占比40%左右的营运设施,则属于经营性。在传统项目实施方案中洞体及人防土建工程按80-100年提取折旧,在25年内固定资产提取折旧57.89亿元,回收固定资产余值54.93亿元。而选择PPP模式时,洞体及人防建设成本在25年项目公司全部回收,显然运营期增加了政府补贴额。二是,政府自建模式方案Ⅲ,不存在对社会资本补贴收益的支出。政府自建模式的缺点是初始投资大,建设及运营风险全部由政府承担。启示二:确认PPP模式资产性质、设置保底量及合理分担政府与社会投资人的风险,直接影响可行性缺口补贴的计算结果。第一组案例是全部投资(含洞体及人防工程投资)条件下的PPP模式,方案Ⅰ为混合资产,方案Ⅱ为无形资产(不再详述)。第二组案例扣除洞体及人防工程投资,方案Ⅳ混合资产,方案Ⅴ无形资产。以下本文重点分析第二组方案PPP模式方案Ⅳ混合资产定性的过程。方案Ⅳ和方案Ⅴ是扣除洞体及人防土建工程投资的PPP项目,项目总投资42.46亿元,资本金18.79亿元,政府出资5%,为0.93亿元,社会出资人出资95%,为17.85亿元。方案Ⅳ资产性质为混合资产,方案Ⅴ资产性质为无形资产。两个PPP方案的财务分析的结果完全不同,究竟应该选择哪个方案?PPP模式资产性质是授予方(政府)根据项目的产品及风险分担机制来确认的。方案Ⅳ,项目公司承担的建造服务总投资42.46亿元(不含进项税),加4%综合利息率(或综合折现率),政府应付款73.56亿元。政府拟以票款收入支付建造成本,总票款收入70.26亿元,可行性缺口73.56 -70.26 =3.30亿元,称可行性缺口补贴。根据风险分担机制,政府承诺保底量为预测客流总量的80%,票款为56.20亿元,如果票款收入不到80%,授予方予以补贴。授予方提供给项目公司保底收入为3.30+56.20=59.51亿元,即应收账款(也称金融资产),现值(折现率ic=4%)34.89亿元,即为金融资产现值,项目总投资42.46-34.89 =8.06亿元,即为无形资产(详细数据见表2-1)。政府保底以外的20%的票款特许收费权给项目公司,这是一项不确定的收入,风险由项目公司承担。《解释第14号》规定:当特许服务权合同中约定需求风险,由经营方与授予方共担,授予方承担差额担保部分的需求风险,经营方对可获最低限额担保部分的对价,应确认为金融资产,将剩余部分确认为无形资产,该无形资产为经营方从使用者付费超出最低限额部分的收费权利,项目公司应当在确认收入的同时确认混合资产。将方案Ⅳ资产性质定义为混合资产,既符合《解释第14号》混合资产的规定,同时政府方通过设置保底量的方式来承担相应客流风险,与地铁PPP模式平等的风险分担机制相吻合。《解释第14号》规定:合同规定项目公司在有关基础设施建成后,从事经营的一定期间内有权利向获取服务的对象收取费用,但收费金额是不确定的,该权利不构成一项无条件收取现金的权利,项目公司应当在确认收入的同时确认无形资产。方案Ⅴ将地铁PPP资产定性为无形资产是不符合会计准则14号解释,将建设成本作为特许权全部摊入成本,造成成本高,利润少。同时也不符合地铁PPP项目平等的风险分担机制,客流风险全部由项目公司承担,即使可行性缺口补贴184.58亿元,比方案Ⅳ191.56亿元,减少6.98亿元;政府收支净现值(ic=5%)为-26.69亿元,比方案Ⅳ-37.91亿元,减少近10亿元,此方案依然不可取。综上分析,BOT特许经营项目资产处理的正确与否直接关系到PPP项目总成本、利润和税收、可行性缺口补贴的计算,应予以高度重视。《原可研报告》经济费用效益分析中,所采用的“有无对比”分析方法,对“无项目”方案的理解存在误区,高估项目经济效益,经济内部收益率为9.5%。本文按《原可研报告》的线路方案重新界定“有无”项目范围。“有项目”为拟建设地铁线路,线路长约15公里。“无项目”与有项目范围内相对应的现有公共交通通道,“无项目”客流以现有公交客流为主及“有项目”影响范围的公交线路的客流。“无项目”客流量所涉及范围内交通量现状调查数据,预计远期略有增长,见附表8。该线路平均运距7公里,地铁出行时间26分钟(包括步行、等待等时间),25年平均票价率2.328元/人.次。“无项目”出行以公交为主,时间为50分钟(包括步行及等待时间),公交票价2元/人.次。时间价值采用工资法计算,见附表8。项目社会折现率取6%。费用效益分析方法遵循《中咨公司项目经济分析准则》提供的经济效益和费用的识别、界定与计量方法。可货币化的广义费用包括使用者和生产者效益和费用,均采用“有无对比”分析方法,分别计算使用者效益和生产者效益。使用者效益,时间节约(舒适度折算为时间节约效益),费用节约(负值)。生产者效益运营收入的增加,运营费用的增加以及“无项目”运营收入的减少,运营费用的减少。
使用者效益=
(无项目运量+有项目运量)x(无项目通道的广义费用-有项目通道的广义费用)
生产者效益=客运收益-运营费用-无项目运营收入减少+无项目运营费用的减少
经济效益费用计算结果:经济内部收益率5.96%,经济净现值(ie=6%)等于-5588万元,见附表8。项目经济效益是可行的。地铁项目外部效益显着,不易货币量化,如缓解地面交通拥堵,减少环境污染,带动沿线土地升值等等。本文通过论证及案例演示对PPP模式进行完整的财务分析评价,回答文章引言提出的三方面问题:1.已批准的项目可行性报告(以下称《原可研报告》)的费用效益分析在评价方法虽有些误区,经过本文复核确认结论基本正确,经济效率合理可行,是优选的最佳方案,为本项目实施PPP模式运行提供重要的前提条件。2.方案Ⅳ财务分析结果表明,扣除项目基础设施(洞体及人防工程投资),运营设施部分实施PPP模式在财务上是可行性的,减少政府初期投资,初期投资仅为0.94亿元,项目建设和运营管理的风险由项目公司承担。政府财务收支现金流量分析,虽然支出大于收入,这是由于地铁项目的特点所决定的,地铁是现代化运营设施投资规模大,票价受到政府严格规制,项目自身财务收入较低,因此,政府补贴额较大为191.56亿元。从综合效益角度分析,方案基本可行。3.本文案例方案Ⅳ所设计特许权出让的安排对社会投资者有足够的吸引力。通过PPP模式下完整的盈利性分析和偿债能力分析,社会投资者财务内部收益率为8.1%,超过期望值7%,满足社会投资者的盈利水平。1.政府投资项目财务生存能力分析,不应局限在财务计划现金流量表净现金流量余缺的分析。应根据项目的具体情况区别对待,对于准公共产品项目生存能力分析,收益水平应达到资金成本的最低标准(银行贷款利率)。在财务基准收益率(FIRR=5%)的条件下,采用倒推价格的方法,计算政府提供最低补贴额,这样项目财务才具有可持续性。2.BOT特许经营项目资产处理的正确与否直接关系到PPP项目总成本、利润和税收、可行性缺口补贴的计算,应予以高度重视。建议PPP项目补充编制三张财务报表:(1)凡是确认为金融资产或混合资产的项目都要编制金融资产或混合资产预测财务报表;(2)编制反推价格和可行性缺口补贴财务报表;(3)编制政府财务收支现金流量表。3.目前我国公益事业及基础设施项目的经济分析工作仍处于低迷状态,没有得到应有的重视,严重影响政府投资项目决策。建议政府投资主管部门组织编写政府投资项目(公益事业及基础设施项目)经济费用效益分析准则,以提高公共项目可行性研究报告经济分析的编写质量,为公共项目科学决策提供可靠依据。